和讯特约
【行情回顾】
周一(11月17日)美元指数先跌后张,收出阳线形态,但总体来说还是在震荡区间里面和小时图高位上升楔形跌破后的反测区域中。美指后市择机短线看跌为主。现货黄金自周五的大幅拉升后高位盘整整固,早间开盘1186.0美元/盎司,最低下探1181.1美元/盎司,最高上测1194.3美元/盎司,最终收盘1186.3美元/盎司。黄金ETF持仓量迎来本月来的首次增仓2.39吨,有望进一步企稳上升。
昨日欧元/美元回调测试上破三角形后的支撑,主要受到欧洲央行行长德拉基讲话影响。德拉基在面对经济和货币事务委员会发表证词是表示,今年欧元区面临的经济挑战尤为艰巨,2014年对货币政策的制定是“充满挑战”的一年,此外德拉基还指出欧元区通胀仍维持在非常低的水平。英央行行长卡尼在法兰克福发表讲话后英镑/美元回测1.5630附近的支撑。因最新出炉的数据显示日本经济意外陷入衰退,让市场臆测首相安倍晋三可能延后提高消费税,提前举行大选,美元/日元昨天一度攀升至七年新高;但汇价随后大幅回落逾百点,因日股大跌促使投资者买回日元。加拿大10月成屋销售月率0.7%,较上月有所好转,美元/加元承压下行。
【基本面关注】
全球市场关注的一大焦点在澳大利亚方面。当天澳洲联储将发布月初政策会议的纪要文件,而在此之后,澳洲联储主席史蒂文斯也将发表讲话就具体的政策状况与前景予以进一步的评述。
同时,中国与澳大利亚签订双边贸易协定对澳元汇价的后继影响也会有所凸显,这意味着澳元走势在周二势必成为市场关注焦点。
而此后,英国方面发布的通胀数据则可能会令英镑汇价自当前的低位水平进一步下行,而德国和欧元区整体的ZEW经济景气指数也会对欧洲央行会否尽快祭出超常规宽松措施给出指引。
与此同时,投资者还需要密切关注日本的政局走势,因当天日本首相安倍晋三很可能会宣布解散国会众院在年底前重新大选这一重要决定。
欧盘17:30英国公布10月零售物价指数和消费者物价指数,预计对市场影响比较大。如利好则支撑英镑兑美元的上涨。择机买入英镑看涨期权。
美盘关注21:30的美国生产者物价指数数据的公布情况,对整体的商品和货币都有一定影响。
【技术面及操作建议】
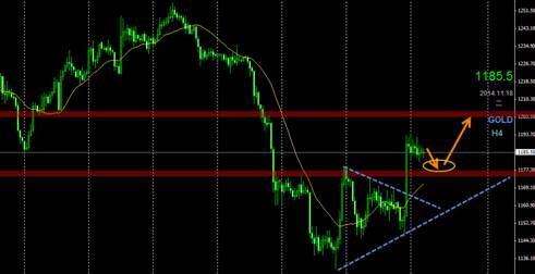
现货黄金
阻力:1193 1200 支撑:1180 1170
黄金昨日震荡走固,四小时K线图站上均线上方,有望震荡后企稳上行,今日在1175上方做多为主。关注咋1180附近的企稳买入黄金看涨期权机会,目标1195-1200附近。关注晚间美国通胀数据公布。黄金走势图:

现货白银
阻力:16.50 16.85 支撑:16.00 15.80
白银上周五如预期成功突破震荡三角形上边缘后展开大幅上涨。白银今日逢低买入看涨白银期权为主。在16.10-16.00附近企稳看涨,目标看16.50到16.85附近。白银走势图:

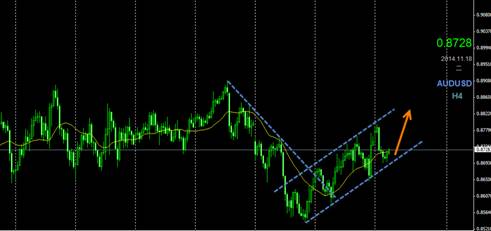
澳元/美元
阻力: 0.8800 0.8850 支撑: 0.8700 0.8650
澳元通道上行,逢低买入看涨期权为主。日内在0.8700的整数关口和通道支撑附近可以买入澳元的看涨期权。

*更多市场分析请访问:富祥二元期权官网 转载请注明